* A portion of this paper was presented in December 2010 at the annual New York meeting of the Society of Cosmetic Chemists.
Luster or shine is an important feature of hair’s appearance and this visual effect is a key objective in the consumer hair care market. Color strength is another important attribute for colored hair but no parameter or test method has previously been developed to combine the two and enable quantified vibrancy claims. In relation, based on work by Lefaudeux et al., in the present article, the authors define a new parameter for such claims, the hair color vibrance factor (HCVF).
Technical Background
Lefaudeux et al. published on principles for measuring hair luster (shine) using a device designed to measure scattering sources on a hair tressa.1, 2 As shown in Figure 1, the researchers indicated two bands that were captured in images of colored hair: the shine band or first reflection with no color; and the chroma band or second reflection with color. From these observations, the researchers defined an overlapping coefficient to describe the overlapping degrees between shine and chroma (see Figure 2). It was also observed that after hair was treated with certain cosmetics, this coefficient increased and corresponded with shinier, richer color.
Considering this work and the established interaction mechanism between hair fibers and light,1 the authors defined the HCVF by measuring the comprehensive effects of hair shine and hair color strength (chroma) as shown in Equation 1:
HCVF = L (1 + Oc) = L + L* Oc Eq. 1
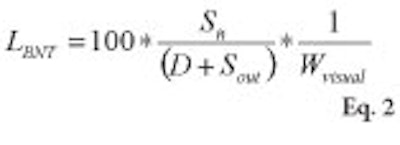
where L is the shine index as determined by: the light scattering measurement device previously mentioneda, and by using the BNT equation shown in Equation 2 below; and Oc is the determined overlapping coefficient between hair shine and chroma.

In Equation 2, Sin is the integral inside the specular peak in the specular profile, Sout is the integral in the wings of the peak in the specular profile, D is the integral in the diffused profile, and Wvisual is the mean value of the band width along the region of interest (ROI) from the real image.
A previous study3 by the authors established the experimental procedures and parameters to quantitatively determine hair shine using a Hair Visual Appearance Study System. In addition, the study applied the HCVF to evaluate colored hair. In the present study, the authors use this system to evaluate the effects of a hair spray using the HCVF.
Materials and Methods
Virgin dark brown, Oriental black, blond and natural white hair tresses, as well as regular bleached shades were purchasedb. Commercial auburnc and deep red hair dyesd were used to dye a portion of the white hair tresses. Hair shine spraye consisting either of 55% cyclomethicone and 45% PPG-3 benzyl ether ethylhexanoatef or 55% cyclomethicone and 45% PPG-3 benzyl ether ethylhexanoate were used to treat some of the tresses while others remained untreated, for comparison.
For the shine spray tests, hair spray bottles were held 5–6 in away from the hair and sprayed lightly in sweeping motions three times on each side. Three tresses were treated by the same hair spray and combed to distribute the product evenly throughout. The treated hair tresses were then left at room temperature (23°C) overnight for drying. The scattering of light on hair was measureda from two orientations, i.e., root-to-tip and tip-to-root, to determine hair luster (LBNT), chroma (C) and the overlapping coefficient (Oc) of each tress.
Effects of Hair Color Shade
First, untreated clean natural white, blond, dark brown, black, bleached, dyed auburn and dyed deep red hair tresses were evaluated. The typical light spectrums for the untreated samples of different colors are shown in Figure 3a, b, c and d. The determined values of shine index (L), overlapping coefficients (Oc) and calculated HCVF are listed in Table 1. It was observed that hair shine value of untreated hair increased with hair color darkness. This may be attributed to more light being absorbed and less light being scattered in dark-colored hair, whereas in light-colored hair, more light is scattered and less light is reflected.
Dyed auburn and red-colored hair showed relatively less shine and smaller overlapping values compared with natural brown and black hair, which is due to damage caused by the coloring process. White hair provided the most unique results; it possessed the lowest shine value but the highest overlapping coefficient. This can be attributed to high amounts of scattered light at all wavelengths and broad bands of both shine and chroma, even though the chroma value was low.
Effects of Shine Spray
A hair shine spraye was then applied to the tresses. The percent changes in hair shine index, overlapping coefficients and HCVF values before and after treatment are shown in Table 2, and typical images and light spectrums of auburn-colored and deep red-colored hair tresses are shown in Figure 4a, b, c and d. In general, it was observed that the shine spray greatly improved shine on blond and bleached hair and moderately enhanced shine for white and dyed hair but had less of an effect on black hair. The spray also showed great improvement in the shine/chroma overlapping coefficient of dyed auburn and deep red hair and made it more vibrant.
Subjective Evaluation
To test the effects of different shine spray ingredients on HCVF, three auburn-dyed hair samples including a control (Sample A) and two samples treated either with hair spray B (Sample B)—including 55% cyclomethi-cone and 45% phenyl trimethicone, or treatment Ce (Sample C) were subjectively evaluated by 25 panelists chosen at random. Figure 5 shows images of the samples. All panelists visually inspected hair tresses and answered the following five questions: Which tress has the most shine? Which tress has the most vibrant color? Which tress has the strongest color? Which tress has the brightest color? And in general, which tress has the most striking color?
Figures 6 and 7 represent the determined HCVF values and panelists’ preferences (%) for the hair samples, respectively. The auburn-colored hair samples treated with spray C were rated as having more vibrant color and had a higher HCVF value than the control A or Spray B samples. Results from subjective evaluations were therefore in agreement with those obtained from instrumental measurements—the higher the HCVF value of the sample, the more vibrant and brighter in color it appeared.
Effects of Hair Dyes: Natural vs. Vibrant Black
To test the effects of different hair dye ingredients on HCVF, two black hair dye formulas were prepared (see Table 3). Figures 8a and b shows images of two black color-dyed hair samples taken by the aforementioned devicea and a regular digital camera. HCVF values of these dyed hair samples are listed in Table 4. It can be seen that the vibrant black hair showed darker, shinier and more vibrant color, compared with natural black hair. In addition, the vibrant black hair had lower L* value (i.e., more darkness) and more negative b* value (i.e., bluer color).
Conclusion
HCVF has been established in this article as a parameter to characterize the comprehensive effects of hair shine and color intensity (chroma) by measuring the hair shine index, chroma maximum and overlapping coefficient simultaneously. Subjective evaluations showed good agreement with objective measurements. HCVF is therefore suggested as a means to quantify new claims such as vibrant color or vibrancy-enhancing hair treatments—the higher the HCVF value, the more vibrant the hair color looks.
The authors thank the Croda Application Group for its preparation of tested formulations, and Rob Comber, PhD, and Abel Pereira for their support and help.
References
- N Lefaudeux, N Lechocinski, O Clemenceau and S Breugnot, New luster formula for the characterization of hair tresses using polarization imaging, J Cosm Sci 60(2) 153–169 (2009)
- SAMBA Hair System Manual, Bossa Nova Technologies, available at www.bossanovatech.com (2008)
- T Gao, A Pereira and S Zhu, Study of hair shine and hair surface smoothness, J Cosm Sc 60(2), 187–197 (2009)




!['We believe [Byome Derma] will redefine how products are tested, recommended and marketed, moving the industry away from intuition or influence, toward evidence-based personalization.' Pictured: Byome Labs Team](https://img.cosmeticsandtoiletries.com/mindful/allured/workspaces/default/uploads/2025/08/byome-labs-group-photo.AKivj2669s.jpg?auto=format%2Ccompress&crop=focalpoint&fit=crop&fp-x=0.49&fp-y=0.5&fp-z=1&h=191&q=70&w=340)




