
Research reveals a scalp microbiota shift in individuals experiencing hair loss. A peptide and red clover regimen was therefore created to counter this shift, mitigate hair loss and restore microbiota balance. Tests in rinse-off applications are described in this article.
See related: Formulating on Trend - Conditioner for Hair Loss
Hair loss is a prevalent concern influenced by variables such as genetics, hormonal shifts, stress, dietary deficiencies, medical conditions, aging and more. One common consequence is that hair follicles, responsible for continuous hair production, can undergo a process known as hair miniaturization. This phenomenon involves a shortened anagen (growth) phase and a prolonged telogen (shedding) phase, resulting in the gradual thinning and loss of hair.
Several factors influence hair miniaturization, such as:
- reduced activity of hair follicle stem cells (HFSCs),
- alterations in the extracellular matrix (ECM),
- elevated levels of dihydrotestosterone (DHT) resulting from increased 5α-reductase activity and localized micro-inflammation induced by excess DHT,
- exposure to chemicals,
- climatic changes or
- internal and external stressors.
These factors can compromise the integrity and functionality of hair follicles, exacerbating the process of hair loss.1
Recent discoveries highlight that individuals experiencing hair loss also show a shift in their scalp microbiota balance, with levels of certain bacteria abnormally elevated. This imbalance can intensify micro-inflammation and potentially disrupt the follicular microenvironment, thereby exacerbating hair miniaturization. Consequently, targeting the scalp microbiota emerges as a novel strategy to address hair loss and promote hair regrowth, which has been relatively unexplored.
This article describes a synergistic blenda (patent pending) combining the biomimetic peptide acetyl tetrapeptide-3 with red clover extract — rich in the isoflavone biochanin A, with reported antioxidant and anti-inflammatory activities — to target the scalp’s microbiome balance as an approach to hair loss. Previous results2 showed the effectiveness of the blend in leave-on treatments to fight hair miniaturization and promote hair regrowth. The present work explores the efficacy of a shampoo and conditioner rinse-off regimen containing the blend to mitigate hair loss and regulate changes in the scalp microbiota.
Microbial Shifts and Hair Loss
The human hair and scalp are host to a diverse range of microorganisms, including both bacteria and fungi, whose balance is important to maintain optimal hair and scalp health. Remarkably, hair follicle openings harbor a substantial portion, approximately 25%, of the overall cutaneous microbial community.3 Similar to the microbiota found on the skin's surface, the hair microbiota includes commensal microbes and opportunistic pathogens, engaging in continual interactions with the host's immune system.4-6
In a balanced state, these microorganisms interface with immune cells, orchestrating the management of inflammation to uphold the internal balance. However, disrupting this microbial equilibrium can lead to persistent micro-inflammation and oxidative stress, potentially damaging the surrounding environment. Maintaining a healthy balance of scalp bacteria is particularly crucial to avoid issues such as dandruff, seborrheic dermatitis and hair loss.7 Bacteria belonging to the phyla Actinobacteria, Firmicutes and Proteobacteria dominate the scalp's surface, with prominent representatives including species from the Cutibacterium and Staphylococcus species.8
Recent studies have shed light on significant differences in microbiota in the hair follicles and scalps of individuals with alopecia – notably, a microbial shift marked by significantly elevated ratios of Cutibacterium acnes to Staphylococcus epidermidis, and C. acnes to Staphylococcus aureus, while the ratio of S. epidermidis to S. aureus, considered to be beneficial, remains relatively unchanged. Furthermore, a discernible increase in the abundance of specific bacterial species, such as Rothia sp., Bacteroidetes sp., Acinetobacter sp and Streptococcus sp., accompanies this observed shift.9
Active to Rebalance Scalp Microbiota
As noted, previously, a biomimetic peptide and red clover extract blend was shown2 to effectively address key factors contributing to hair miniaturization. Red clover extract is rich in biochanin A, a potent flavonoid renowned for its anti-inflammatory properties and ability to inhibit 5-α-reductase. Its actions complement those of acetyl tetrapeptide-3, a biomimetic peptide composed of four amino acids that can foster dimensional improvements in hair follicles by stimulating tissue remodeling and enhancing ECM renewal.
Thus, together, biochanin A and acetyl tetrapeptide-3 can synergistically target hair miniaturization by optimizing the activity and environment of hair follicles. This blend was previously shown to restore the natural hair growth cycle, promoting hair growth and simultaneously limiting hair loss, as validated at a concentration of 5% in leave-on formulations; additionally, its effectiveness was evaluated in eyelash applications.2
Recognizing the potential of this active blend, the authors carried out additional evaluations of a rinse-off shampoo and conditioner regimen containing it. Effects on scalp microbiota and the possible link to hair miniaturization and loss were assessed.
Materials and Methods
Panelists: The following described studies were conducted in an inclusive panel of 23 healthy men and women having no evidence of systemic diseases and who were not using topical or oral products with anti-hair loss effects similar to those under investigation. Volunteers were between the ages of 18 and 65, experiencing general hair loss attributed to various factors such as stress, fatigue and seasonal changes.
Treatment regimen: Volunteers followed a specified hair care routine using a shampoo and scalp treatment conditioner combination every two days for 90 days, each formulated with 1.5% of the active (see Formulas 1-2). No control was used; instead, before-and-after effects were compared. Volunteers were instructed to massage the shampoo onto the scalp for at least 1 min, followed by thorough rinsing with water and subsequently applying the conditioner, massaging it into the scalp for a minimum of 2 min, then rinsing thoroughly again.
Hair growth cycle phases: The hair growth cycle was analyzed via a digital trichogramb, which enables the measurement of the proportion of hair in anagen (growth) phase and telogen (shedding) phases. This technique requires shaving a small area of the scalp and capturing digital images of the hair using specialized equipment. A determined number of hairs was extracted from the scalp by traction at 45 and 90 days after treatment. Software analysis then computed key hair growth parameters such as density, diameter and growth rate, indicating the percentage of hair in anagen and telogen phase relative to baseline.
Self-assessment: Volunteers additionally completed a subjective evaluation questionnaire after 45 and 90 days of routine use to assess the treatment’s efficacy and perceived improvement in hair growth.
Scalp microbiota collection: The scalp microbiomes of the same inclusive panel of healthy men and women volunteers – minus two, who were excluded due to poor microbiome collection data – were also examined (n = 21). Scalp microbiota samples were collected using adhesive patchesc from volunteers following the treatment protocol. The test protocol involved applying the patch for 10 sec, then placing it in the test tube provided; the supplier confirms no hair follicles are harvested using its method.
DNA was extracted from the samples and bacterial detection was conducted using 16S RNA marker and quantitative polymerase chain reaction (qPCR) sequencing. Post-extraction, DNA quality and purity were assessed, followed by high-throughput qPCR analysis. Absolute abundance calculations were performed for significant scalp bacteria, such as S. epidermidis, S. aureus and C. acnes.
Bacterial ratios: This study focused on determining the ratios of C. acnes to S. epidermidis, C. acnes to S. aureus, and S. epidermidis to S. aureus, which as noted, were previously associated with hair loss.9 These ratios were assessed at the outset of the study (Day 0) and following 90 days of consistent product application.
Bacteria changes with hair cycle variations: The study then assessed the absolute abundance of bacteria implicated in hair loss, as previously outlined in the literature,4 both before and after 90 days of using the shampoo and conditioner routine. Subsequently, researchers examined the relationship between changes in bacterial abundance and corresponding variations between Day 0 and Day 90 in the percentage of hair in anagen and telogen phases.
Results
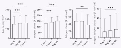
Hair growth cycle phases: Results indicated that after 90 days of treatment, the proportion of hair in the anagen phase significantly increased by 9% (up to +22%), with notable decreases in the proportion of hair in the telogen phase by 42% (up to -79%). Furthermore, the study demonstrated a substantial increase in the anagen/telogen ratio, reflecting the hair growth index, by 30% and 88% (up to +149%) after 45 and 90 days, respectively (see Figure 1). In addition, Figure 2 shows the number of hairs per cm² for each phase of the cycle.
Self-assessment: The questionnaires revealed that after 45 and 90 days of treatment application, most users acknowledged the effectiveness of the rinse-off application within 90 days (see Figure 3).
Bacterial ratios: The results revealed significant alterations in bacterial ratios after 90 days of treatment application. Notably, the ratio of C. acnes to S. epidermidis exhibited a marked decrease of 36%, while the ratio of C. acnes to S. aureus demonstrated an even more substantial reduction of 62%. Conversely, the ratio of S. epidermidis to S. aureus, regarded as a beneficial marker, remained unchanged throughout the study period (see Figure 4). The results suggest the product regimen may be modulating the scalp microbiota and potentially contributing to a healthier microbial balance on the scalp.
Bacteria changes with hair cycle variations: Notably, the evolution of hair in the anagen phase between Day 0 and Day 90 was calculated to correlate with the evolution of bacteria species between Day 0 and Day 90. The absolute abundance of bacteria showed a significant reduction in Rothia sp., Bacteroidetes sp. Acinetobacter sp., which correlated positively with an increase in the anagen phase following 90 days of product application.
Similarly, a significant decrease in Rothia sp., Acinetobacter sp. and Streptococcus sp. corresponded with a decrease in the telogen phase ratio, as shown by trichogram (see Figure 5). These results highlight a possible link between the prescribed treatment, modulation of specific bacterial populations and changes in hair cycle phases, as the observed reductions in certain bacteria coincided with shifts toward phases conducive to hair growth.
Furthermore, after 90 days of treatment, the Shannon Index tended to decrease (p = 0.09) (internal data not shown), suggesting the treatment regimen does not impact the abundance and richness of the scalp microbiota.
Discussion and Conclusions
The described studies demonstrate the promise of a hair treatment regimen containing a novel active ingredient – a blend of acetyl tetrapeptide-3 and red clover extract rich in biochanin A – to potentially rebalance the scalp microbiota in a manner associated with favorable hair cycle dynamics. As shown here, after just 45 days of treatment, the anagen (growth) to telogen (shedding) ratio significantly increased, even from a rinse-off treatment regimen. Moreover, significant reductions were observed in bacterial ratios associated with hair loss, including the decline in C. acnes compared to S. epidermidis and S. aureus, following 90 days of regular use of the products.
Additionally, fluctuations in the abundance of Rothia sp., Bacteroidetes sp. and Acinetobacter sp. during the anagen phase, and Rothia sp., Acinetobacter sp. and Streptococcus sp. during the telogen phase correlated with variations in hair cycle phases and, consequently, hair cycle dynamics. This underscores an intricate relationship between scalp microbiota balance and hair growth cycles; it also highlights additional potential bacterial targets. Further investigations would be required to uncover the precise mechanisms of these correlations.
The data presented here positions this active treatment regimen as a versatile solution to potentially address disturbances in hair metabolism while nurturing a healthier scalp environment. With proven efficacy of both rinse-off and leave-on treatments at concentrations ranging from 1.5% to 5%,2 this approach emerges as a potential ally to combat hair loss due to various factors and promote hair growth for denser and healthier hair.
a INCI: Butylene Glycol (and) Water (Aqua) (and) Dextran (and) Acetyl Tetrapeptide-3 (and) Trifolium Pratense (Clover) Flower Extract
b TrichoScan
c Sequential Skin Ltd., UK
References
1. York, K., Meah, N., Bhoyrul, B., Sinclair, R. (2020). A review of the treatment of male pattern hair loss. Expert Opin Pharmacother, 21(5) 603-612.
2. Loing, E., et al. (2013). A new strategy to modulate alopecia using a combination of two specific and unique ingredient. J. Cosmet Sci. Available at https://pubmed.ncbi.nlm.nih.gov/23449130/
3. Lange-Asschenfeldt, B., Marenbach, D., Lang, C., Patzelt, A., Ulrich, M., Maltusch, A., et al. (2011). Distribution of bacteria in the epidermal layers and hair follicles of the human skin. Skin Pharmacology and Physiology. 24(6) 305–11; pmid:21757977
4. Ho, B.S., Ho, E.X.P., Chu, C.W., Ramasamy, S., Bigliardi-Qi, M., de Sessions, P.F. and Bigliardi, P.L. (2019). Microbiome in the hair follicle of androgenetic alopecia patients. PLoS One, 14(5) e0216330.
5. Lousada, M.B., Edelkamp, J., ... Paus, R., et al. (2023). Spatial distribution and functional impact of human scalp hair follicle microbiota. Journal of Investigative Dermatology. Available at https://pubmed.ncbi.nlm.nih.gov/38070726/
6. Lousada, M.B., Lachnit, T., Edelkamp, J., Rouillé, T., Ajdic, D., Uchida, Y., Di Nardo, A., Bosch, T.C.G. and Paus, R. (2021). Exploring the human hair follicle microbiome. Br J Dermatol, 184 802-815; https://doi.org/10.1111/bjd.19461
7. Constantinou, A., Kanti, V., Polak-Witka, K., Blume-Peytavi, U., Spyrou, G.M. and Vogt, A. (2021). The potential relevance of the microbiome to hair physiology and regeneration: The emerging role of metagenomics. Biomedicines, 9(3) 236.
8. Skowron, K., Bauza-Kaszewska, J., Kraszewska, Z., Wiktorczyk-Kapischke, N., Grudlewska-Buda, K., Kwiecińska-Piróg, J., Wałecka-Zacharska, E., Radtke, L. and Gospodarek-Komkowska, E. (2021). Human skin microbiome: Impact of intrinsic and extrinsic factors on skin microbiota. Microorganisms, 9(3) 543.
9. Jo, H., Kim, S.Y., ... Lee, D.-G., et al. (2022). Staphylococcus epidermidis Cicaria, a novel strain derived from the human microbiome and its efficacy as a treatment for hair loss. Molecules. Available at https://www.mdpi.com/1420-3049/27/16/5136















