Editor’s note: This article is the last in a four-part series considering the effects of test variables on SPF results. Here, the authors assess the effects of pressure during sunscreen sample spreading on UV transmission. The first was published in July 2013 and considered substrate surface temperature; the second, in September 2013, assessed substrate choice; and the third, in October 2013, presented an automated approach to controlling test variables.
SPF determination assesses the protection level afforded by sunscreen products mostly against UVB, in the solar spectrum range of 290–320 nm. But it is now well-known that UVA radiation in the 320–400 nm range also causes a number of detrimental effects in human skin. These facts underline the need to accurately measure and communicate to consumers the level of protection, and what type, a sunscreen provides them. In both cases, they can be evaluated by in vivo methods, which compare the UV radiation dose required for the appearance of a biological endpoint—erythema for SPF, and pigmentation for UVA protection factor (UVA-PF)—with and without protection. However, for ethical, economical and practical reasons, in vivo methods are being replaced by in vitro methods. Whereas worldwide in vitro SPF methods are not yet defined, in vitro UVA-PF methods have been established by Cosmetics Europe, formerly COLIPA, and the International Organization for Standardization (ISO).1, 2 However, these methods require previous determination of the in vivo SPF, and in cases where the in vivo SPF is different from the in vitro SPF, as calculated from the absorption curve, the in vitro calculation must be adjusted using a C coefficient to make these values match.
Currently, the accepted SPF test method is based on an in vitro assessment of UV transmittance through a thin film of sunscreen sample spread onto a roughened substrate—with or without exposure to a controlled dose of UV radiation from a defined UV source. The importance of better correlating the results from such in vitro tests with in vivo results has recently been emphasized; but before this can occur, reproducibility within in vitro results is crucial and a prior condition for producing reliable data. By fixing all other identified parameters such as quantity, spreading or substrate properties, the authors focused their work on a parameter that has previously not been considered effectively—the pressure applied while spreading the sunscreen on the test substrate.
This paper presents studies of the influence of pressure during sample application on the in vitro SPF results obtained for 34 sunscreen products. The products were applied using four different pressures, as monitored by a sensor. All other conditions were kept strictly identical, such as the same operator, quantity of product, temperature of substrate surface,3 substrate properties including roughness and surface energy, spreading method including movement and drying time, and the transmittance analyzer used. This work is part of a larger program aimed at reproducibility optimization by identifying, demonstrating and controlling the parameters that influence in vitro UV values on a large selection of products.
Materials and Methods
Pressure control: To control pressure, a balance and video recorder were used. First, the balance was calibrated using a 100-g reference weight and within 0.1-g precision. After each spreading step, variations in the weight were controlled using the video recorder, frame by frame.
Substrate selection: To ensure reproducibility of the data, and that results only were impacted by pressure, molded polymethyl methacrylate (PMMA) platesa were used. These plates, having one face roughened and measuring 47 x 47 x 1.5 mm,4 were previously demonstrated to provide better reproducibility and in vivo/ in vitro SPF correlation, compared with other substrates.5 Surface topography parameters were controlled by the manufacturer with a profilometer, which processed the plates to meet the defined specifications.1, 2
Sunscreen products selected: Thirty-four sunscreen products covering various formulations were used for this study, such as: an o/w emulsion cream, lotion and spray; a w/o emulsion lotion and spray; and oil and alcoholic sprays.
Sunscreen application: Before applying the test products, the application finger of the operator (without a finger cot) was pre-saturated with the product. Nine drops for a total of 28.7 ± 0.5 mg of the test sunscreen product were applied by a 1-mL syringe across the whole PMMA plate surface. To ensure the correct application rate of 1.3 mg/cm², the syringe was weighed before and after product application. Immediately after weighing, the sunscreen product was spread over the whole surface using a defined, three-stepped sequence consisting of circular, linear and light linear strokes. The pressure was fixed during the first circular step and last step of light, linear strokes—respectively at about 100 g and 10 g—and modulated during the intermediate step with linear strokes at 50, 100, 150 and 200 g. Besides pressure control, the temperature of the substrate surface3 was maintained at 25°C using a specific temperature deviceb and movements by video. After product spreading, the sample was allowed to dry and settle for 15 min at 25°C. After drying, UV transmittance measurements of the samples were taken.
Transmittance measurements: According to the ISO 24443 procedure, the transmittance analyzerc was validated and controlled by specified standardsd and the linearity/additivity by calibrated reference standard PMMA calibration platese to which UV filters were applied. Measurements were taken from 290–400 nm, in 1-nm increments.
A PMMA plate covered with a film of white petrolatum, 15 mg applied, was used to obtain blank transmittance. Two different plates were used for each tested product and nine UV transmission spectras were recorded for each plate at the different application locations.
In vitro SPF calculation: Through sunscreen UV transmittance measurement, T(λ), the in vitro SPF could be calculated by combining the UV light attenuated by the sunscreen film, the erythema action spectrum and a relevant solar emission spectrum according to Eq. 1:

where E(λ) is the relative effectiveness of UVR in producing erythema in human skin according to the erythema action spectrum (CIE-1987) at wavelength λ; I(λ) is the spectral irradiance received from the UV source at wavelength λ, in midday, midsummer sunlight; A(λ) is the monochromatic absorbance of the sunscreen layer at wavelength λ, with A(λ) = - log [T(λ)]; and d(λ) is the wavelength step, equal to 1 nm in this study. Finally, the in vitro SPF reported in this study is the arithmetical mean of the 18 in vitro calculated SPFn values for each n location. The range of variation of in vitro SPF values is characterized through standard deviation (SD) and coefficient of variation (CV).
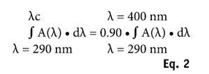
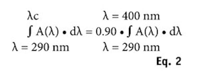
Calculation of the critical wavelength: The well-known critical wavelength (CW) index6 describes the range of protection over the entire spectrum (290–400 nm). The λc is obtained when the integral of the absorbance spectrum from 290 to 400 nm reaches 90% by means of the following Eq. 2. Although CW is also calculated from the UV transmission after UV exposure at UV dose D, the authors use this method here without UV radiation for practical reasons.

In Eq. 2, A(λ) is the monochromatic absorbance of sunscreen layer at wavelength λ; λc is the critical wavelength calculated to comply with Eq. 1; and d(λ) is the wavelength step, equal to 1 nm in this study.
Comparing two mean in vitro values: Due to in vitro value variations, the difference between two in vitro SPF means was considered significant according to a calculation method described previously.7 This method is based on a statistical explanation to compare two mean values under the normality hypothesis according to the Student’s t-test and with variance homogeneity according to Fisher’s F-test. Nevertheless, the authors considered in vitro SPF values above 100 to be overestimated, and they were taken with caution.
Results and Discussion
Verification of pressure control: The first step of this study was to evaluate the level of pressure control during the spreading step. For this, variations in pressure were monitored over time, as shown in Figure 1. The goal was to maintain circular strokes at 100 g of pressure; linear strokes, at 50, 100, 150 and 200 g; and lighter linear strokes at 10 g.
Results indicated very low pressure variations during spreading, as measured by the pressure control. The minimum and maximum readings in Figure 1 show that variations rarely exceeded 10%. Based on these results, all assays moving forward were realized by means of the pressure control. To assure better pressure control, initial “training spreadings” for each product were first carried out on one plate to gauge spreading properties. This first plate was not measured but the two following it were.
In vitro SPF evaluation: Next, the in vitro SPF for all 34 products was evaluated at graduated pressure levels from 50 g to 200 g, in steps of 50 g. Detailed results are shown in Table 1.
From the results shown in Table 1, the in vitro spreading method with the same operator was found to be repeatable within two plates for all pressures, with a low average coefficient of variation for in vitro SPF. Representations of these values are shown in box plots in Figure 2. It is important to note that the mean coefficient of variation increased with pressure. Thus, for a pressure of 50, 100, 150 and 200 g, the coefficient of variation respectively measured 11.8, 13.7, 17.5 and 19.2%. This difference may be explained by the fact that as pressure increased, variations of the applied pressure increased. Nevertheless, although a pressure of 50 g had a slightly lower mean CV variation than other pressures, the pressure of 100 g was preferred due to the lower limit values; i.e., limits beyond which values are considered anomalous.
Table 2 shows these results interpreted according to the difference calculation method described in a previous study7 and cross-referencing the effects of the pressures as indicated by:
▲, the mean difference is significantly different—the in vitro SPF increases with pressure;
=, the mean difference is not significantly different; and
▼, the mean difference is significantly different—the in vitro SPF decreases with pressure.
By means of these results, the cumulative frequency of product behavior is represented in Figure 3. The greater the positive score, the higher the in vitro SPF of the product increased with increasing pressure. Conversely, a negative score indicated that in vitro SPF decreased with increasing pressure.
This graph indicates that about 32.3% of products had an in vitro SPF that increased with increasing pressure; about 47.6% of products had an in vitro SPF that decreased with increasing pressure; and about 20.6% of products were not influenced by pressure variation. From these results, it was observed that a difference of 50 g in pressure influenced the majority of products but as always, behavior under pressure is product-dependent. To more simply represent the influence of pressure on in vitro SPF, the mean value according to behavior was calculated for each pressure and shown in Figure 4.
Finally, it was observed that spreading pressure had an influence on the CW value. In the majority of cases, CW changed when pressure changed by only about 50 g. Regardless, based on evaluations of the 34 sunscreen products, the mean difference for CW results due to pressure was 0.8 nm, with a maximum of 3.0 nm.
Conclusion
Shown here are the assessments of 34 sunscreen products spread onto test substrates using different pressures. Results demonstrate the significant impact application pressure has on in vitro SPF and CW values. Based on this data, the authors emphasize the importance of controlling pressure during test sample spreading to avoid variations in the results and ultimately improve test repeatability and reproducibility. A spreading pressure of 100 g was deemed the best compromise between reproducibility and ease of control.
To assure a future reliable and harmonized test method, pressure should be controlled during spreading by means of a device. And although pressure was monitored during the spreading step, a small training period is recommended to improve self- control. Finally, this study logically suggests that sun care product developers also consider the influence of application pressure on in vivo UV protection efficiency; it also highlights the need for such an evaluation method for in vivo SPF assessment.
References
- Colipa method for in vitro determination of UVA protection, https://www.cosmeticseurope.eu/publications-cosmetics-europe-association/guidelines.html?view=item&id=33 (Accessed Sep 10, 2013)
- Cosmetics–Sun protection test method–Determination of sunscreen UVA photoprotection in vitro, www.iso.org/iso/catalogue_detail?csnumber=46522 (Accessed Sep 10, 2013)
- S Miksa, D Lutz and C Guy, UV transmission assessment: Influence of the control of temperature on substrate surface, Cosm & Toil 128(7) 484–494 (Jul 2013)
- L Ferrero, M Pissavini, A Dehais, S Marguerie and L Zastrow, Importance of substrate roughness for in vitro sun protection assessment, IFSCC 9(2) 1–13 (Apr/Jun 2006)
- M Pissavini, S Marguerie, A Dehais, L Ferrero and L Zastrow, Characterizing roughness: A new substrate to measure SPF, Cosm & Toil 124(9) 56–64 (Sep 2009)
- BL Diffey, A method for broad-spectrum classification of sunscreens, Int J Cosmet Sci 16 47–52 (1994)
- M Pissavini, O Doucet and O Brack, Interpretation of SPF in vivo results: Analysis and statistical explanation, Cosm & Toil 126(3) 172–184 (Mar 2011)









